
Séminaire STATQAM – Université du Québec à Montréal
Université du Québec à Montréal
Université du Québec à Montréal
Aix-Marseille School of Economics, Aix-Marseille Univ.
Aix-Marseille School of Economics, Aix-Marseille Univ.
Université de Montréal
\[ \definecolor{wongBlack}{RGB}{0,0,0} \definecolor{wongGold}{RGB}{230, 159, 0} \definecolor{wongLightBlue}{RGB}{86, 180, 233} \definecolor{wongGreen}{RGB}{0, 158, 115} \definecolor{wongYellow}{RGB}{240, 228, 66} \definecolor{wongBlue}{RGB}{0, 114, 178} \definecolor{wongOrange}{RGB}{213, 94, 0} \definecolor{wongPurple}{RGB}{204, 121, 167} \]
\[\DeclareMathOperator{\g}{g}\]
\[\DeclareMathOperator*{\argmin}{arg\,min}\]
![]() |
![]() |
![]() |
![]() |
| female (0.984) | female (0.983) | female (0.982) | female (0.960) |
| male (0.016) | male (0.017) | male (0.018) | male (0.040) |
![]() |
![]() |
![]() |
![]() |
| female (0.009) | female (0.013) | female (0.014) | female (0.015) |
| male (0.991) | male (0.987) | male (0.986) | male (0.985) |
There is a 30% chance of rain tomorrow.
Dawid (1982)

Consider a sequence of weather forecasts \(\hat{s}(\mathbf{x}_t)\), where \(t=1,\ldots, T\) denotes the days of forecast and \(\mathbf{x}\) represents characteristics used in forecasting.
Within this sequence, we focus on days where \(\hat{s}(\mathbf{x}_i)\) closely approximates 30%.
By assuming an infinite sequence, we can determine the long-term proportion \(p\) of days where the forecasted event actually occurred.



Figure 2: Example: Calibration of Weather Forecasts
In the example of the rain, we are interested in being able to discriminate between rainy/not rainy days.
What if we are also interested in the underlying risk?
For example, to assess whether:
Driver A
Driver B
Probability of an accident
\(p_A = 0.3\)
\(p_B = 0.7\)
Annual Risk
\(c_A = \$1,000\)
\(c_B = \$1,000\)
The expected annual loss is therefore:
\[\mathbb{E}[S] = p_A c_A + p_B c_B = \$1,000\]
If the premiums are based on the accident probabilities, we then have:
Premium
\(\pi_A = \$300\)
\(\pi_B = \$700\)
But in practice, we do not observe the accident probabilities. Those are inferred.
If the model is not well calibrated, the premiums will lead to unfair pricing.
Driver A
Driver B
True Prob.
\(p_A = 0.3\)
\(p_B = 0.7\)
Estimated prob.
Premium
\(\hat{s}(\mathbf{x}_A) = 0.4\)
\(\pi_A = \$400\)
\(\hat{s}(\mathbf{x}_B) = 0.6\)
\(\pi_B = \$600\)
Estimated prob.
Premium
\(\hat{s}(\mathbf{x}_A) = 0.1\)
\(\pi_A = \$100\)
\(\hat{s}(\mathbf{x}_B) = 0.9\)
\(\pi_B = \$900\)
Estimated prob.
Premium
\(\hat{s}(\mathbf{x}_A) = 0.2\)
\(\pi_A = \$200\)
\(\hat{s}(\mathbf{x}_B) = 0.4\)
\(\pi_B = \$400\)
Unlike weather forecasting, it is harder to track indidivuals over time for an insurance company:
The same applies in a medical context: we may not have repeated observations for the same patient.
Solution: observing a lot of individuals with similar characteristics.
After estimating individual probabilities, we group individuals accordingly and verify if the proportion of occurred events aligns with the estimated probability.
If the model is not calibrated, there exists ways to recalibrate it.
Calibration is not restricted to binary classifier.
In traditional regression, a model output denoted as \(\hat{Z}\) is considered well-calibrated for a real-valued variable \(Z\) when (KrĂĽger and Ziegel, 2020): \[ \mathbb{E}\left[ Z \mid \hat{Z} \right] = \hat{Z}\enspace. \]
In Machado et al. (2024), we also explore the case of a multiclass variable.
When the target variable is binary, things become more complex as the predicted scores cannot be directly compared to the observed event.
What the remainder of the talk is about:
Reviewing of ways to measure and visualize calibration for a binary classifier.
Proposing a new metric based on local regression: the Local Calibration Score.
Observing the impact of a poor calibration on standard performance metrics.
Examining calibration for tree-based methods.
Let us consider a binary event \(D\) whose observations are denoted \(d_i=1\) if the event occurs, and \(d_i=0\) otherwise, where \(i\) denotes the \(i\)th observations.
Let us further assume that the probability of the event \(d_i=1\) depends on individual characteristics:
\[p_i = s(\mathbf{x}_i)\]
where, with sample size \(n > 0\), \(i=1,\ldots, n\) represents individuals, and \(\mathbf{x}_i\) the characteristics.
To estimate this probability, we can use a statistical model (e.g., a GLM) or a machine learning model (e.g., a random forest).
These models estimate a score \({\color{wongLightBlue}\hat{s}(\mathbf{x}_i)} \in [0,1]\), allowing the classification of observations based on the estimated probability of the event.
By setting a probability threshold \(\tau\) in \([0, 1]\), one can predict the class of each observation: 1 if the event occurs, and 0 otherwise:
\[{\color{wongOrange}\hat{d}_i} = \begin{cases}1, & \text{if } {\color{wongLightBlue}\hat{s}(\mathbf{x}_i)} \geq \tau\\ 0, & \text{if } {\color{wongLightBlue}\hat{s}(\mathbf{x}_i)} < \tau\end{cases}\enspace.\]
However, to interpret the score as a probability, it is crucial that the model is well calibrated.
Calibration of a Binary Classifier (Schervish, 1989)
For a binary variable \(D\), a model is well-calibrated when \[\begin{equation} \mathbb{E}[D \mid {\color{wongLightBlue}\hat{s}(\mathbf{X})} = p] = p, \quad \forall p \in [0,1]\enspace.\label{eq-calib-E} \end{equation}\]
Note: conditioning by \(\{\hat{s}(\mathbf{x})=p\}\) leads to the concept of (local) calibration; however, as discussed by Bai et al. (2021), \(\{\hat{s}(\mathbf{x})=p\}\) is a.s. a null mass event. Thus, calibration should be understood in the sense that \[ \mathbb{E}[D \mid \hat{s}(\mathbf{X}) = p]\overset{a.s.}{\to} p\text{ when }n\to\infty\enspace, \] meaning that, asymptotically, the model is well-calibrated, or locally well-calibrated in \(p\), for any \(p\).
To measure calibration, the literature provides:
Usually, both are based on groups of observations, bins, defined using empirical quantiles of the estimated scores.
As previously illustrated with the example of weather forecast, one can plot a calibration curve to visualize the calibration of a model.
It involves estimating the function \(\g(\cdot)\) that measures miscalibration on its predicted scores \(\color{wongLightBlue}\hat{s}(\mathbf{x})\): \[ \g : \begin{cases} [0,1] \rightarrow [0,1]\\ p \mapsto \g(p) := \mathbb{E}[D \mid {\color{wongLightBlue}\hat{s}(\mathbf{x})} = p] \end{cases}\enspace. \tag{1}\]
The \(\g\) function for a well-calibrated model is the identity function \(\g(p) = p\).
Challenge: having enough observations with identical scores is difficult.
Solution: grouping observations into \(B\) bins, defined by the empirical quantiles of predicted scores \(\color{wongLightBlue}\hat{s}(\mathbf{x})\).
Expected Calibration Error (ECE) (Pakdaman Naeini et al., 2015)
\[ \text{ECE} = \sum_{b=1}^{B} \frac{n_b}{n} \mid {\color{wongGold}\text{acc}(b)} - {\color{wongGreen}\text{conf}(b)} \mid \tag{2}\]
where \(n\) is the sample size, \(n_b\) is the number of observations in bin \(b\in\{1, \ldots, B\}\).
In each bin \(b\) associated with \(\mathcal{I}_b\) containing the indices of instances within that bin:
The accuracy \(\color{wongGold}\text{acc}(b)\), which measures the average of empirical probabilities or fractions of correctly predicted classes
\[ {\color{wongGold}\text{acc}(b)} = \frac{1}{n_b} \sum_{i \in \mathcal{I}_b} \mathbb{1}_{{\color{wongOrange}\hat{d}_i} = d_i} \]
The predicted class \(\color{wongOrange}\hat{d}_i\) for observation \(i\) is determined based on a classification threshold \(\tau\in [0,1]\) where \(\hat{d}_i = 1\) if \({\color{wongLightBlue}\hat{s}(\mathbf{x}_i)} \geq \tau\) and \(0\) otherwise
The Confidence \(\color{wongGreen}\text{conf}(b)\), indicating the model’s average confidence within bin \(b\) by averaging predicted scores.
\[ {\color{wongGreen}\text{conf}(b)} = \frac{1}{n_b} \sum_{i \in \mathcal{I}_b} {\color{wongLightBlue}\hat{s}(\mathbf{x}_i)} \]
Another metric, the Brier Score, does not depend on bins.
Brier Score (Brier, 1950)
\[ BS = \frac {1}{n} \sum_{i=1}^{n} (d_i - {\color{wongLightBlue}\hat{s}(\mathbf{x}_i)})^2 \tag{3}\]
where \(d_i\) is the observed event and \(\color{wongLightBlue}\hat{s}(\mathbf{x}_i)\) the estimated score.
MSE
By substituting the observed event \(d_i\) by the true probability \(p_i\) (which can only be observed in an experimental setup), the metrics becomes the MSE:
\[ \text{True MSE} = \frac{1}{n} \sum_{i=1}^{n} (p_i - {\color{wongLightBlue}\hat{s}(\mathbf{x}_i)})^2 \tag{4}\]
We propose an alternative approach to visualize model calibration, aiming for a smoother representation than that provided by the method based on quantiles: local regression (Loader, 1999)
Measuring calibration consists in estimating a conditional expectation: a local regression seems appropriate.
Local Regression have been disregarded in high dimensions due to poor properties, but it is highly efficient in small dimensions, as in this case with only one predictive feature, \(\color{wongLightBlue}\hat{s}(\boldsymbol{x}) \in [0,1]\).
Given the number of data points, the precision of quantile binning can be sub optimal when determining the appropriate bin count.
By contrast, with local regression, one can specify the percentage of nearest neighbors, providing greater flexibility.
The degree of the polynomial determines the construction of the polynomial regression.
The degree of the polynomial determines the construction of the polynomial regression.
We employ the trained model to make predictions on a linear space with values in \([0, 1]\): this provides a continuous calibration profile, based on uniformly distributed points to evaluate \(\g\).
Local Calibration Score (LCS)
A local regression of degree 0, denoted as \(\hat{\g}\), is fitted to the predicted scores \(\color{wongLightBlue}\hat{s}(\mathbf{x})\).
This fit is then applied to a vector of linearly spaced values within the interval \([0,1]\).
Each of these points is denoted by \(\color{wongPurple}l_j\), where \(j \in \{1, \ldots, J\}\), with \(J\) being the target number of points on the visualization curve.
The LCS is defined as: \[ \text{LCS} = \sum_{j=1}^{J}w_j \big(\hat{\g}({\color{wongPurple}l_j}) - {\color{wongPurple}l_j}\big)^2\enspace, \tag{5}\] where \(w_j\) is a weight defined as the density of the score at \(\color{wongPurple}l_j\).
The local regression model relies on neighboring points to make predictions.
Challenge: Problems at the edges when the range of predicted scores \(\color{wongLightBlue}\hat{s}(\mathbf{x})\) does not cover the entire interval \([0,1]\).
In such cases, predicted values beyond this range may deviate from the bisector, leading to a misinterpretation of calibration.
Solution: we adjust the linear space used for predictions by the local regression model to align with the full range of observed scores \(\hat{s}(\mathbf{x})\).
We simulate binary observations as in Gutman et al. (2022):
\[D_i \sim \mathcal{B}(p_i),\] where individual prob. are obtained using a logistic sigmoid function:
\[p_i = \frac{1}{1+\exp(-\eta_i)},\] \[\eta_i = \mathbf{a} \mathbf{x}_i + \varepsilon_i\] with \(\mathbf{a} = \begin{bmatrix}a_1 & a_2 & a_3 & a_4\end{bmatrix} = \begin{bmatrix}0.1 & 0.05 & 0.2 & -0.05\end{bmatrix}\) and \(\mathbf{x}_i = \begin{bmatrix}x_{1,i} & x_{2,i} & x_{3,i} & x_{4,i}\end{bmatrix}^\top\).
The observations \(\mathbf{x}_i\) are drawn from a \(\mathcal{U}(0,1)\) and \(\varepsilon_i \sim \mathcal{N}(0, 0.5^2)\).
Logistic Regression is a.s. well calibrated
Consider a dataset \(\{(d_i,\mathbf{x{_i}})\}\), where {\(\mathbf{x}\)} are \(k\) features (\(k\) being fixed), so that \(D|\boldsymbol{X}=\mathbf{x} \sim \mathcal{B}\big(s(\mathbf{x})\big)\) where \[ s(\mathbf{x})=\frac{\exp[\beta_0+\mathbf{x}^\top\boldsymbol{\beta}]}{1+\exp[\beta_0+\mathbf{x}^\top\boldsymbol{\beta}]}. \] Let \(\widehat{\beta}_0\) and \(\widehat{\boldsymbol{\beta}}\) denote maximum likelihood estimators. Then, for any \(\mathbf{x}\), the score defined as \[ \hat{s}(\mathbf{x})=\frac{\exp[\hat\beta_0+\mathbf{x}^\top\hat{\boldsymbol{\beta}}]}{1+\exp[\hat\beta_0+\mathbf{x}^\top\hat{\boldsymbol{\beta}}]} \] is well-calibrated in the sense that \[ \mathbb{E}[D \mid \hat{s}(\mathbf{x}) = p]\overset{a.s.}{\to} p\text{ as }n\to\infty. \]
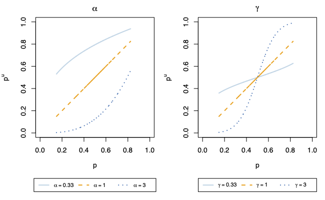
To simulate uncalibration, we generate samples of \(2,000\) observations and we apply (monotonous) transformations to the true probabilities, either on:
the latent probability \(p_i\):
\[p_i^{u} = \left(\frac{1}{1+\exp(-\eta_i)}\right)^{\color{wongPurple}\alpha}\enspace.
\tag{6}\]
the linear predictor \(\eta_i\):
\[
\eta_i^u = {\color{wongPurple}\gamma} \times \left((-0.1)x_1 + 0.05x_2 + 0.2x_3 - 0.05x_4 + \varepsilon_i\right)\enspace .
\tag{7}\]
The resulting transformed probabilities are considered as the scores: \({\color{wongLightBlue}\hat{s}(\mathbf{x})} := \color{wongLightBlue}p_i^u\)
We examine variations in \(\{1/3, 1, 3\}\) for \(\alpha\) and \(\gamma\)
For each of the 6 scenarios, we generate 200 samples of \(2,000\) obs.

Figure 4: Calibration Metrics on 200 Simulations for each Value of \(\alpha\) (top) or \(\gamma\) (bottom).
Figure 5: Calibration Curve Obtained with Local Regression, on 200 simulations for each Value of \(\alpha\) (top) or \(\gamma\) (bottom). Distribution of the true probabilities are shown in the histograms (gold for \(d=1\), purple for \(d=0\)).
What are the impacts of miscalibration on standard metrics?
We will consider metrics based on the predictive performances calculated using a confusion table:
| Actual/Predicted | Positive | Negative |
|---|---|---|
| Positive | TP | FN |
| Negative | FP | TN |
\[\text{TPR} = \frac{\text{TP}}{\text{TP} + \text{FN}}; \quad \text{FPR} = \frac{\text{FP}}{\text{FP} + \text{TN}}\]
\[\text{Accuracy} = \frac{\text{TP} + \text{TN}}{\text{N}}\]
Overall correctness of the model
\[\text{Sensitivity} = \frac{\text{TP}}{\text{TP} + \text{FN}}\]
Ability to correctly identify positive class
\[\text{Specificity} = TPR = \frac{\text{TN}}{\text{TN} + \text{FP}}\]
Ability to correctly identify negative class
AUC (Area Under Curve)
TPR and TFP for various prob. threshold \(\tau\)
Figure 6: Standard Goodness of Fit Metrics on 200 Simulations for each Value of \(\alpha\) (top) or \(\gamma\) (bottom). The probability threshold is set to \(\tau=0.5\).
When a binary classifier is not calibrated, the literature advocates recalibrating the model.
The basic idea is to apply a transformation to the scores, e.g.:
We suggest considering local regression too.
To recalibrate a model, we adopt the following methodology:
Platt scaling (Platt et al., 1999) was initially introduced for SVM.
The method consists in applying a logistic regression to the scores predicted on the calibration set to learn \(a\) and \(b\): \[ \g\big(\hat{s}(\mathbf{x})\big) = \frac{1}{1+\exp{\left\{-\big(a\hat{s}(\mathbf{x})+b\big)\right\}}}\enspace \tag{8}\]
Caveat: if the model was already well calibrated, applying Platt scaling will make it uncalibrated, as the identity function is not a member of the logistic family.
Isotonic regression (Zadrozny and Elkan, 2002) comes from a constrained optimization problem solved using the Pool-Adjacent-Violators Algorithm.
Using this algotithm, the predicted scores remain monotonic.
Find the isotonic (monotonically increasing) function \(g(\cdot)\) that minimizes \[ \begin{array}{rrclcl} \displaystyle & \sum_{i=1}^n \left(d_{i} - g(\hat{s}(\mathbf{x}_i))\right)^2 \\ \textrm{s.t.} & g(\hat{s}(\mathbf{x}_1)) \leq \ldots \leq g(\hat{s}(\mathbf{x}_n)) \end{array}\enspace . \]
Caveat: predicted scores \(\color{wongLightBlue}\hat{s}(\mathbf{x})\) are assumed to be well-ordered, limiting the ability of isotonic regression to correct non-monotonic probability distortions.
Instead of assuming normal distribution of scores within each class (0 and 1), with Beta calibration (Kull, Silva Filho, et al., 2017) the scores are assumed to follow a beta distribution.
Parameters \(a\), \(b\) and \(c\) are estimated on a calibration set:
\[ \g\left(\hat{s}(\mathbf{x})\right) = \frac{1}{1+\exp{\left\{-c\right\}}\left(\frac{\hat{s}(\mathbf{x})^a}{(1-\hat{s}(\mathbf{x}))^b}\right)} \tag{9}\]
where conditioning \(a, b \geq 0\) leads to an increasing map function.
Note: in contrast to Platt scaling, the Beta calibration family includes the identity function, allowing it to maintain score calibration when it is already calibrated.
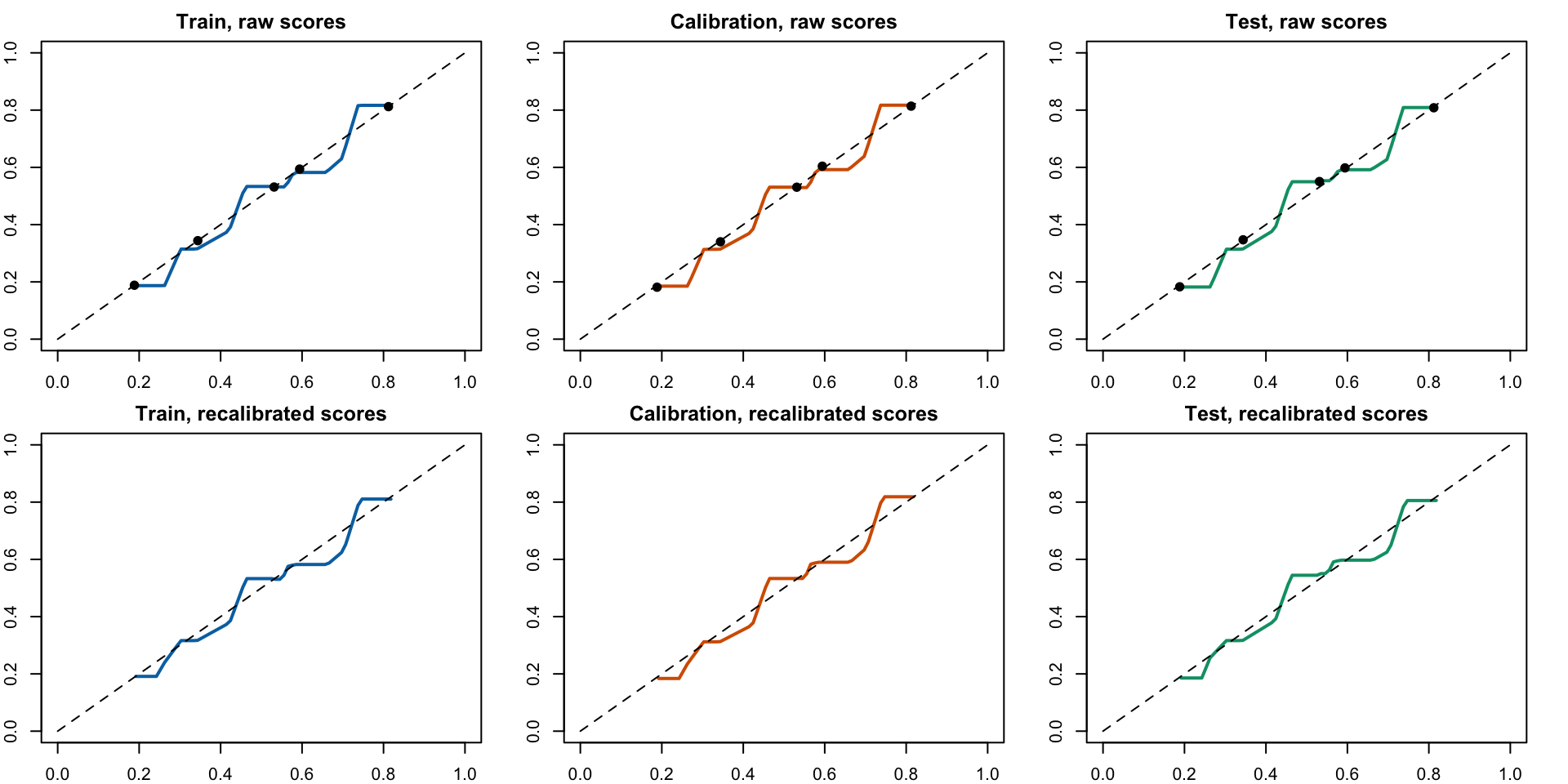
Local regression can be used to recalibrate scores.
The idea is to fit a local regression of degree 0 to the predicted scores on a calibration set.
This allows to estimate \(\hat{\mathbb{E}}[D \mid {\color{wongLightBlue}\hat{s}(\mathbf{X})} \in \mathcal{V}_p]\), where \(p \in [0,1]\), where \(\mathcal{V}_p\) represents the neighborhood of a given \(p\), defined using a percentage of nearest neighbors among the set of evaluation points.
\(\hat{\mathbb{E}}[D \mid {\color{wongLightBlue}\hat{s}(\mathbf{X})} \in \mathcal{V}_p]\) is an approximation the function \(\g\).
Note: to improve smoothness particularly in regions with limited data points (e.g., when the predicted scores \(\hat{s}(\mathbf{x})\) are close to 0 and 1), employing with polynomial degrees of 1 and 2 is an alternative worth considering.
Reference: metric computed using the uncalibrated scores \(\color{wongLightBlue}\hat{s}(\mathbf{x})\).
Figure 7: Metrics After Recalibration (for \(\gamma=3\)), on the Calibration (transparent colors) and on the Test Set (full colors).
Are trees well calibrated?
Some learning algorithms are designed to yield well-calibrated probabilities. These include decision trees, whose leaf probabilities are optimal on the training set
(Kull, Filho, et al., 2017)
Earlier studies show that also classical methods such as decision trees, boosting, SVMs and naive Bayes classifiers tend to be miscalibrated
(Wenger et al., 2020)
We simulate binary observations in a simpler framework:
\[D_i \sim \mathcal{B}(p_i),\] where individual prob. are obtained using a logistic sigmoid function:
\[p_i = \frac{1}{1+\exp(-\eta_i)},\] \[ \eta_i = a_1 x_1 + a_2 x_2 - \frac{a_1+a_2}{2}\enspace \tag{10}\] with \(\begin{bmatrix}a_1 & a_2\end{bmatrix} = \begin{bmatrix}4 & 3\end{bmatrix}\) and \(x_1\) and \(x_2\) are drawn from a \(\mathcal{U}(0,1)\).
We generate 200,000 obs: 100,000 in train, 50,000 in calibration, and 50,000 in test.
Figure 8: Distribution of the True Probabilities
Figure 9: Drawn Probabilities \(p_i\)
Figure 10: Observed Event \(d_i\)
We train a regression tree (Breiman, 1984), with a minimal number of cases in the terminal node equal to \(1/10,000\) of the size of the train data, i.e., 12 observations.
The tree is pruned depending on the improvement made on the R-squared. The procedure is done by cross-validation.
For each terminal leaf of the tree, the average value of the observed events from the train set that fall into the leaf is computed: this is how the estimated scores are computed. For a terminal leaf node \(\ell\): \[ \text{score}(\ell) = \frac{1}{N_\ell} \sum_{i \in \ell} d_i, \tag{11}\] where \(N_\ell\) is the number of observations in terminal node \(\ell\).
The predicted score \(\color{wongLightBlue}\hat{s}(\mathbf{x}_i)\) is the value \(\text{score}(\ell)\) of terminal leaf in which observation \(i\) belongs.

minbuckket = 12. In each node, the value on top is the average of \(d_i\) and the bottom value is the proportion of observations from the train sample.
Figure 13: Calibration Curve with Uncalibrated Scores (top) and Recalibrated Scores (bottom)
| MSE | Accuracy | AUC | Brier Score | LCS | Sample |
|---|---|---|---|---|---|
| True Probabilities | |||||
| 0.000 | 0.736 | 0.813 | 0.176 | 0.000 | Train |
| 0.000 | 0.741 | 0.818 | 0.174 | 0.000 | Calibration |
| 0.000 | 0.737 | 0.815 | 0.176 | 0.000 | Test |
| No Calibration | |||||
| 0.014 | 0.716 | 0.774 | 0.190 | 0.001 | Train |
| 0.014 | 0.720 | 0.779 | 0.188 | 0.001 | Calibration |
| 0.014 | 0.720 | 0.775 | 0.189 | 0.002 | Test |
| MSE | Accuracy | AUC | Brier Score | LCS | Sample |
|---|---|---|---|---|---|
| True Probabilities | |||||
| 0.000 | 0.736 | 0.813 | 0.176 | 0.000 | Train |
| 0.000 | 0.741 | 0.818 | 0.174 | 0.000 | Calibration |
| 0.000 | 0.737 | 0.815 | 0.176 | 0.000 | Test |
| Local Reg (deg=0) | |||||
| 0.014 | 0.716 | 0.774 | 0.190 | 0.001 | Train |
| 0.014 | 0.720 | 0.779 | 0.188 | 0.001 | Calibration |
| 0.014 | 0.720 | 0.775 | 0.189 | 0.001 | Test |


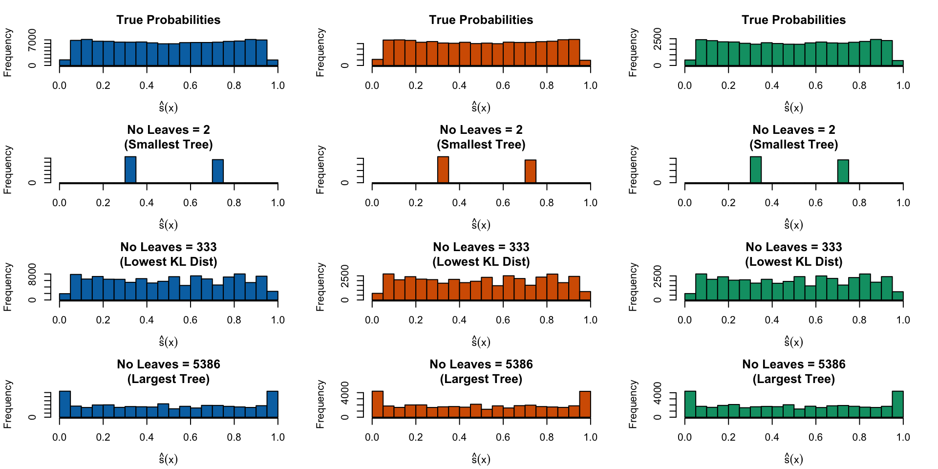
Tree depth matters:
It may be possible to find an in-between situation: solution in which the number of leaves is such that the distribution of the predicted scores is the closest to the distribution of the true probabilities.
We need to measure the distance between these two distributions: Kullback Leibler Divergence (Kullback and Leibler, 1951).
What about accounting for the distance between the distribution of true probabilities and that of estimated scores?
To do so, we rely on the Kullback Leibler Divergence.
Kullback Leibler Divergence. (Kullback and Leibler, 1951)
For two discrete distributions \(\color{wongPurple}q\) and \(\color{wongLightBlue}p\), Kullback–Leibler divergence divergence of \(\color{wongPurple}q\) with respect to \(\color{wongLightBlue}p\) is:
\[D_{KL}({\color{wongPurple}q}||{\color{wongLightBlue}p}) = \sum_i {\color{wongPurple}q(i)} \log \frac{{\color{wongPurple}q(i)}}{{\color{wongLightBlue}p(i)}}\enspace.\]
We want to adjust the number of leaves in the tree.
Problem: this is not a hyperparameter.
To create trees with varying numbers of leaves, we can modify two hyperparameters:

Figure 17: Distribution of true probabilities (top), estimated scores for the smallest tree (second row), for the tree with the smalled Kullback Leibler divergence (third row), and for the largest tree, when the minimal observations in terminal nodes is set to 1/1,000 of the number of observations in the train set.

STATQAM - March 7, 2024